精细化学
随着高端制造的飞速发展,市场对于新兴化学品的质量和多样性的要求不断提高。拓谱一直专注于以最快的速度,为客户提供最高水平的、独特、稀有的化学产品,不断开发特色产品,整合更多的广泛用于研究领域及高端制造所必需的高品质化学品。同时,我们也在不断努力,通过提供定制精细化学品来满足客户的委托合成需要。
-
Methyl 3-amino-4-chlorobenzoate3-氨基-4-氯苯甲酸甲酯
CAS 号: 40872-87-5
MDL No.: MFCD03470533
产品编号: M831165
分子式: C8H8ClNO2
分子量: 185.61
纯度: 98%
-
3-Amino-4-chlorobenzoic Acid3-氨基-4-氯苯甲酸
CAS 号: 2840-28-0
MDL No.: MFCD00007671
产品编号: A832436
分子式: C7H6ClNO2
分子量: 171.58
纯度: 99%
-
1-(3-Amino-4-Chlorophenyl)Ethan-1-One3-氨基-4-氯苯乙酮
CAS 号: 79406-57-8
MDL No.:
产品编号: A858058
分子式: C8H8ClNO
分子量: 169.61
纯度: ≥98%
-
3-Amino-4-chloro-N-(3-pyridylmethyl)benzamide3-氨基-4-氯-N-(3-吡啶基甲基)苯甲酰胺
CAS 号: 1018502-06-1
MDL No.: MFCD10021697
产品编号: D851470
分子式: C13H12ClN3O
分子量: 261.71
纯度: ≥95%
-
3-Amino-4-chloro-N-(2-furylmethyl)benzamide3-氨基-4-氯-N-(2-呋喃基甲基)苯甲酰胺
CAS 号: 852839-94-2
MDL No.: MFCD06680061
产品编号: D851461
分子式: C12H11ClN2O2
分子量: 250.68
纯度: ≥95%
-
Ethyl 3-amino-4-fluorobenzoate3-氨基-4-氟苯甲酸乙酯
CAS 号: 455-75-4
MDL No.: MFCD03840487
产品编号: E845283
分子式: C9H10FNO2
分子量: 183.18
纯度: 97%
-
3-Amino-4-fluorobenzoic Acid3-氨基-4-氟苯甲酸
CAS 号: 2365-85-7
MDL No.: MFCD00130055
产品编号: A832963
分子式: C7H6FNO2
分子量: 155.13
纯度: ≥97.0%(T)
-
Methyl 3-amino-4-(trifluoromethyl)benzoate3-氨基-4-三氟甲基苯甲酸甲酯
CAS 号: 126541-82-0
MDL No.:
产品编号: M845646
分子式: C9H8F3NO2
分子量: 219.16
纯度: 98%
-
3-Amino-4-(trifluoromethyl)benzoic acid3-氨基-4-三氟甲基苯甲酸
CAS 号: 125483-00-3
MDL No.:
产品编号: A841593
分子式: C8H6F3NO2
分子量: 205.13
纯度: 98%
-
3-Amino-4-(methylamino)benzoic acid3-氨基-4-(甲氨基)苯甲酸
CAS 号: 66315-15-9
MDL No.: MFCD06208249
产品编号: A842800
分子式: C8H10N2O2
分子量: 166.18
纯度: 98%
-
Methyl 3-amino-4,5,6,7-tetrahydrobenzo[b]thiophene-2-carboxylate3-氨基-4,5,6,7-四氢苯并[b]噻吩-2-羧酸甲酯
CAS 号: 119205-38-8
MDL No.: MFCD05665152
产品编号: M848023
分子式: C10H13NO2S
分子量: 211.28
纯度: 98%
-
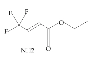
Ethyl 3-amino-4,4,4-trifluorocrotonate3-氨基-4,4,4-三氟丁烯酸乙酯CAS 号: 372-29-2
MDL No.: MFCD00068195
产品编号: E808713
分子式: C6H8F3NO2
分子量: 183.13
纯度: 97%