精细化学
随着高端制造的飞速发展,市场对于新兴化学品的质量和多样性的要求不断提高。拓谱一直专注于以最快的速度,为客户提供最高水平的、独特、稀有的化学产品,不断开发特色产品,整合更多的广泛用于研究领域及高端制造所必需的高品质化学品。同时,我们也在不断努力,通过提供定制精细化学品来满足客户的委托合成需要。
-
Octyl-3,5-di-tert-butyl-4-hydroxy-hydrocinnamate3,5-二叔丁基-4-羟基苯丙酸异辛酯CAS 号: 125643-61-0
MDL No.:
产品编号: O872058
分子式: C25H42O3
分子量: 390.61
纯度: ≥98%
-
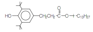
11-Methyldodecyl 3-(3,5-di-tert-butyl-4-hydroxyphenyl)propanoate3,5-二叔丁基-4-羟基苯丙酸异十三烷酯CAS 号: 847488-62-4
MDL No.:
产品编号: M872019
分子式: C30H52O3
分子量: 460.7
纯度: ≥98%
-
3,5-Diacetoxybenzoic acid3,5-二乙酰氧基苯甲酸CAS 号: 35354-29-1
MDL No.: MFCD00017591
产品编号: D808405
分子式: C11H10O6
分子量: 238.2
纯度: 98.0%
-
3,5-Diethyl-4-hydroxybenzaldehyde3,5-二乙基-4-羟基苯甲醛
CAS 号: 69574-07-8
MDL No.:
产品编号: D846568
分子式: C11H14O2
分子量: 178.23
纯度: 96%
-
3,5,6-Trichlorosalicylic acid3,5,6-三氯水杨酸CAS 号: 40932-60-3
MDL No.: MFCD00075245
产品编号: T818760
分子式: C7H3Cl3O3
分子量: 241.46
纯度: 99%
-
3,5,6-Trichloropicolinic acid3,5,6-三氯吡啶-2-甲酸CAS 号: 40360-44-9
MDL No.:
产品编号: T841973
分子式: C6H2Cl3NO2
分子量: 226.45
纯度: 98%
-
3,5,5-Trimethylhexanal3,5,5-三甲基己醛CAS 号: 5435-64-3
MDL No.: MFCD00010441
产品编号: T819648
分子式: C9H18O
分子量: 142.24
纯度: 95%
-
3,5,5-Trimethylhexanoic acid3,5,5-三甲基己酸CAS 号: 3302-10-1
MDL No.: MFCD00020507
产品编号: T819070
分子式: C9H18O2
分子量: 158.243
纯度: 97%
-
3,4-Hexanedione3,4-己二酮CAS 号: 4437-51-8
MDL No.: MFCD00010237
产品编号: H810832
分子式: CH2CH2COCOCH2CH3
分子量: 114.14
纯度: 96%
-
3,4-Thiophenedicarboxylic Anhydride3,4-噻吩二甲酸酐
CAS 号: 6007-85-8
MDL No.:
产品编号: T855204
分子式: C6H2O3S
分子量: 154.14
纯度: 95%
-
Diethyl 3,4-Furandicarboxylate3,4-呋喃二甲酸二乙酯
CAS 号: 30614-77-8
MDL No.: MFCD00005349
产品编号: D850985
分子式: C10H12O5
分子量: 212.2
纯度: ≥95%
-
3,4-Furandicarboxylic Acid3,4-呋喃二甲酸
CAS 号: 3387-26-6
MDL No.: MFCD00022465
产品编号: D851715
分子式: C6H4O5
分子量: 156.09
纯度: ≥97%