精细化学
随着高端制造的飞速发展,市场对于新兴化学品的质量和多样性的要求不断提高。拓谱一直专注于以最快的速度,为客户提供最高水平的、独特、稀有的化学产品,不断开发特色产品,整合更多的广泛用于研究领域及高端制造所必需的高品质化学品。同时,我们也在不断努力,通过提供定制精细化学品来满足客户的委托合成需要。
-
(2S,4R)-1-Boc-2-carbamoyl-4-hydroxypyrrolidine(2S,4R)-1-Boc-2-氨基甲酰基-4-羟基吡咯烷
CAS 号: 109384-24-9
MDL No.: MFCD16883081
产品编号: D851431
分子式: C10H18N2O4
分子量: 230.26
纯度: ≥97%
-
(2S,4R)-1-((S)-2-(cyclopentyloxycarbonyl)-3,3-diMethylbutanoyl)-4-hydroxypyrrolidine-2-carboxylic acid(2S,4R)-1-((S)-2-(环戊氧羰基))-3,3-二甲基丁酰基)-4-羟基吡咯烷-2-羧酸
CAS 号: 877069-25-5
MDL No.:
产品编号: S860321
分子式: C17H27NO6
分子量: 341.4
纯度: ≥99%
-
(2S,3S)-2-Amino-3-methoxybutanoic acid(2S,3S)-2-氨基-3-甲氧基丁酸
CAS 号: 104195-80-4
MDL No.: MFCD00142985
产品编号: S856261
分子式: C5H11NO3
分子量: 133.15
纯度: 98%
-
1-Isopropylpyrazole-5-carboxylic Acid1-异丙基吡唑-5-甲酸
CAS 号: 920006-32-2
MDL No.: MFCD03130043
产品编号: D852022
分子式: C7H10N2O2
分子量: 154.17
纯度: 95%
-
(2S,3S)-2-((tert-Butoxycarbonyl)amino)-3-hydroxybutanoic acid(2S,3S)-2-((叔丁氧基羰基)氨基)-3-羟基丁酸
CAS 号: 23082-30-6
MDL No.:
产品编号: S846060
分子式: C9H17NO5
分子量: 219.24
纯度: 95%
-
3-(4-Fluorophenyl)-1-isopropylindole-2-carbaldehyde1-异丙基-3-(4-氟苯基)吲哚-2-甲醛
CAS 号: 101125-34-2
MDL No.: MFCD03839850
产品编号: D852106
分子式: C18H16FNO
分子量: 281.32
纯度: 97%
-
(2S,3R)-3-Amino-2-hydroxy-4-phenylbutyric acid(2S,3R)-3-氨基-2-羟基-4-苯丁酸
CAS 号: 59554-14-2
MDL No.:
产品编号: S843296
分子式: C10H13NO3
分子量: 195.22
纯度: 98%
-
1-Isopropyl-1H-pyrazole-5-carbaldehyde1-异丙基-1H-吡唑-5-甲醛
CAS 号: 100305-93-9
MDL No.:
产品编号: I839512
分子式: C7H10N2O
分子量: 138.17
纯度: 95%
-
H-Thr(Bzl)-OH·HCl(2S,3R)-2-氨基-3-(卞氧基)丁酸
CAS 号: 60856-51-1
MDL No.:
产品编号: H844396
分子式: C11H16ClNO3
分子量: 245.7
纯度: 98%
-
Methyl piperazine-1-carboxylate hydrochloride1-哌嗪羧酸甲酯盐酸盐CAS 号: 873697-75-7
MDL No.:
产品编号: M844287
分子式: C6H13ClN2O2
分子量: 180.63
纯度: 95%
-
(2S,3R)-1-tert-Butyl 2-methyl 3-hydroxypyrrolidine-1,2-dicarboxylate(2S,3R)-1-叔丁基-2-甲基-3-羟基吡咯烷-1,2-二羧酸
CAS 号: 130966-46-0
MDL No.: MFCD13248611
产品编号: S841817
分子式: C11H19NO5
分子量: 245.27
纯度: 97%
-
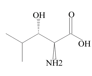
(2S,3R)-(+)-2-Amino-3-hydroxy-4-methylpentanoic acid(2S,3R)-(+)-2-氨基-3-羟基-4-甲基戊酸CAS 号: 10148-71-7
MDL No.:
产品编号: S801223
分子式: C6H13NO3
分子量: 147.17
纯度: 98%